Per utilizzare questa funzionalità di condivisione sui social network è necessario accettare i cookie della categoria 'Marketing'.
Sicurezza sul lavoro e cantieri: l’applicazione dell’intelligenza artificiale
Promossa dall’Agenzia europea per la sicurezza e la salute sul lavoro ( EU-OSHA), la campagna europea “ Lavoro sano e sicuro nell’era digitale” ha avuto in questi l’indubbio merito di aumentare l’attenzione verso i vantaggi, ma anche le sfide, relative all’evoluzione e allo sviluppo delle nuove tecnologie. Ad esempio con riferimento alle conseguenze della digitalizzazione, all’automazione robotica e al sempre più diffuso uso dell' intelligenza artificiale (IA)
Per continuare a parlarne, con particolare riferimento alle applicazioni dell’ intelligenza artificiale nel mondo dei cantieri, pubblichiamo oggi un contributo che ci ha inviato un nostro lettore, il Dott. Mario Ferraioli, dal titolo “Rivoluzione nella sicurezza sul lavoro: l'equazione di Niman trasforma i cantieri con l'intelligenza artificiale!”.
Rivoluzione nella sicurezza sul lavoro: l'equazione di Niman trasforma i cantieri con l'intelligenza artificiale!
Introduzione
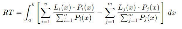
L'Equazione di Niman si è affermata come un paradigma avanzato per l'analisi quantitativa del rischio nei contesti lavorativi caratterizzati da elevata dinamicità, come i cantieri edili e le aree industriali. Questo modello matematico, capace di adattarsi alle variazioni temporali e spaziali, rappresenta una significativa evoluzione nell'ambito della sicurezza sul lavoro, grazie alla sua capacità di esprimere il rischio attraverso un'espressione integrale.
Formulazione matematica e applicazioni pratiche
L'Equazione di Niman si articola mediante parametri che quantificano i rischi associati a impianti e strutture, integrando tali informazioni per fornire una stima complessiva del rischio totale (RT). La sua applicazione consente una gestione proattiva e dinamica dei rischi, essenziale in ambienti lavorativi come i cantieri, dove la variabilità delle condizioni può avere un impatto diretto sulla sicurezza.

Dove:
- Li(x) rappresenta i livelli dei fattori di rischio associati a impianti, strutture e attrezzature, in funzione della variabile continua xxx, che può rappresentare il tempo o una dimensione spaziale.
- Pi(x) denota il peso relativo di ciascun fattore di rischio in funzione della stessa variabile x.
- Lj(x) e Pj(x) rappresentano rispettivamente i livelli e i pesi dei fattori correttivi, quali l’utilizzo di dispositivi di protezione individuale (DPI) e altre misure di mitigazione.
- [a,b] identifica l’intervallo di integrazione, corrispondente a un intervallo temporale o spaziale durante il quale viene effettuata la valutazione del rischio.
Formalizzazione matematica
L’Equazione di Niman, nella sua forma integrale, si propone di catturare la complessità e la variabilità del rischio nei luoghi di lavoro, considerando sia i fattori di rischio iniziali sia le misure correttive implementate. In particolare, essa si articola in due componenti principali:
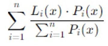
- Fattori di rischio iniziali:
Questo componente rappresenta la somma pesata dei fattori di rischio, normalizzata rispetto al totale dei pesi, per ciascun punto nell’intervallo di integrazione. Tale espressione cattura l’impatto cumulativo dei rischi associati a impianti, strutture e attrezzature, variabili lungo la dimensione x.

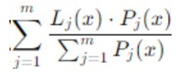
- Fattori correttivi:
Questo termine rappresenta la somma pesata dei fattori correttivi, normalizzata rispetto al totale dei pesi correttivi, riflettendo l’efficacia delle misure di mitigazione implementate lungo l’intervallo considerato.

L'integrazione su [a,b] consente di ottenere una stima complessiva del rischio totale (RT), tenendo conto dell'interazione dinamica tra i fattori di rischio e i fattori correttivi, adattandosi alle variazioni temporali e spaziali tipiche degli ambienti di lavoro.
Rappresentazione grafica dell’equazione di Niman

Segue una rappresentazione concettuale dell'Equazione di Niman, in cui è illustrato come i diversi fattori contribuiscano al rischio totale. Ogni curva rappresenta l'influenza di un particolare elemento (attrezzature, strutture, rischi, DPI, azioni correttive), mentre la linea nera sintetizza la somma di queste influenze, corrispondente al rischio totale risultante secondo l'Equazione di Niman. Questo tipo di rappresentazione facilita la visualizzazione dell'interazione tra i vari componenti, offrendo una visione d'insieme del livello complessivo di rischio in un ambiente di lavoro, sia nei cantieri edili sia nei processi produttivi industriali.
Analisi del modello e vantaggi strategici
Nel contesto dei cantieri, l'Equazione di Niman svolge un ruolo fondamentale in diverse aree:
- Valutazione dei Rischi: Analizza come variabili quali il clima e le condizioni del terreno interagiscono per creare scenari potenzialmente pericolosi.
- Ottimizzazione delle Procedure di Sicurezza: Adatta le operazioni sulla base dei rischi previsti, migliorando la sicurezza complessiva.
- Prevenzione degli Incidenti: Consente di anticipare i potenziali pericoli, favorendo interventi tempestivi.
- Formazione dei Lavoratori: Implementa scenari simulati per educare il personale al riconoscimento e alla gestione dei rischi.
- Monitoraggio Continuo: Utilizza sistemi integrati per la segnalazione immediata di condizioni a rischio.
Questo approccio non solo migliora l'efficienza operativa, ma personalizza anche le misure di sicurezza, adattandole alle specifiche esigenze dei cantieri.
Integrazione dell'intelligenza artificiale
L'Equazione di Niman acquista un nuovo impulso attraverso l'integrazione con l' intelligenza artificiale (IA). Implementando una rete neurale che sfrutta i principi dell'equazione, è possibile rivoluzionare le valutazioni del rischio. Questa rete neurale, con livelli di input che rappresentano i fattori di rischio e correttivi, offre un'elaborazione avanzata delle interazioni non lineari, producendo stime del rischio significativamente più accurate.
Innovazione e applicazioni nel mondo reale
Dopo l'addestramento su vasti set di dati e la validazione mediante tecniche di cross-validation, questa rete neurale è pronta per essere integrata nei sistemi aziendali, offrendo valutazioni in tempo reale e migliorando la reattività alle dinamiche operative in evoluzione. L'adozione di questa tecnologia nei progetti pilota ne conferma il potenziale, proiettando l'approccio verso una standardizzazione nell'industria, con l'obiettivo di migliorare sostanzialmente la sicurezza sul lavoro.
Conclusioni
L'integrazione di tecnologie avanzate, come le reti neurali basate sull'Equazione di Niman, rappresenta un passo pionieristico nella gestione del rischio, con il potenziale di stabilire nuovi standard nella sicurezza industriale. Questa innovazione non si limita alla teorizzazione, ma applica concretamente la scienza dei dati alla sicurezza sul lavoro, dimostrando come la fusione tra teoria matematica avanzata e tecnologia all'avanguardia possa creare ambienti di lavoro più sicuri ed efficienti.
Mario Ferraioli
Per visualizzare questo banner informativo è necessario accettare i cookie della categoria 'Marketing'
Pubblica un commento
| Rispondi Autore: Andrea Rotella | 09/10/2024 (08:15:40) |
| Personalmente non avevo mai sentito parlare dell'equazione di Niman e/o letto e/o trovato alcuna pubblicazione scientifica che riguardi tale equazione e ne dimostri la validità. Sicuramente mia ignoranza. Gradirei references di pubblicazioni scientifiche a riguardo | |
| Rispondi Autore: carmelo catanoso | 09/10/2024 (20:58:43) |
| Andrea Rotella, allora siamo in due. Conosco il Niman come fiume affluente dell'Amur in Russia. Conosco le condizioni al contorno di Neumann. Conosco un Niemann che è uno scacchista. Conosco un Niman che è un cantante. Conosco la congettura di Riemann. Questa "equazione di Niman" mi sfugge. Però, essendo avanti con gli anni ed avendo studiato Complementi di Matematica e Teoria dei Sistemi, più di 40 anni fa, mi ritengo non aggiornato e, quindi, sono aperto ad apprendere visto che mi ritengo un perenne apprendista. Dove la trovo per studiarmela? | |
| Rispondi Autore: avv. Rolando Dubini | 11/10/2024 (09:44:29) |
| Effettivamente sembra non esistere alcun altro riferimento diverso da questo articolo a questa equazione. | |
| Rispondi Autore: DANIELA KIFFI | 11/10/2024 (12:30:19) |
| Ne ho già sentito parlare non molto tempo fa, è una recente ricerca condotta da un gruppo di informatici iscritti alla IEEE (Istituto di Elettronica ed Elettrotecnica Americana) dove si è voluto formulare in maniera scientifica il modo di valutare un determinato fenomeno. Si parte da alcune ipotesi, tali ipotesi sono avvallate da campioni ed ognuno ha un peso, il peso della prima parte dell integrale è diminuito dai fattori correttivi calcolati con lo stesso principio. molto utile nello studio delle reti neurali. In questo caso è stato semplicemente applicato alla cantieri ma puo essere usato anche in altri ambiti. L'equazioni mostrata è in forma ridotta... In sostanza permette di valutare, ad esempio una fase di lavoro, in maniera ingegneristica e non soggettiva come fatto fino ad ora. | |
| Rispondi Autore: IVAN SANTELIA | 11/10/2024 (18:03:34) |
| L'equazione non è ancora molto conosciuta, probabilmente perché è un modello recente e sviluppato principalmente per applicazioni informatiche piuttosto che esclusivamente per la sicurezza sul lavoro. Tuttavia, concordando con quanto detto nell'articolo, ha un enorme potenziale anche per la valutazione dei rischi. Il modello matematico è progettato per gestire la sicurezza attraverso sistemi software, permettendo di analizzare grazie alle LM situazioni reali date dall addestramento e suggerire le soluzioni più adeguate, superando così la semplice valutazione basata sull'esperienza del tecnico. Anche se il metodo è innovativo e l'articolo offre spunti interessanti di riflessione, trovo che sia troppo focalizzato sugli aspetti matematici e non abbastanza sulle applicazioni pratiche che chiarirebbero il potenziale di questo interessante e innovativo metodo. Sarebbe utile vedere più esempi concreti. | |
| Rispondi Autore: carmelo catanoso | 12/10/2024 (12:16:53) |
| Se è stata sviluppata nell'ambito degli studi delle reti neurali, allora chiederò informazioni al mio compagno di università prof. Carlo Morabito, attualmente presidente della International Neural Network Society (INNS). Grazie per le informazioni. | |
| Rispondi Autore: Daniela Kiffi | 12/10/2024 (13:58:14) |
| Non conosco il prof. Morabito, sicuramente per mia ignoranza e perchè mi occupo di altro, ma studiandomi l articolo trovo questo metodo di calcolo molto efficace per la valutazione dei rischi e sicuramente migliore dei metodi finora applicati nella valutazioni dove il tipo di rischio e i relativi valori sono soggettivi, dimostrando in toto la debolezza. Qui il campione, cioè l esperienza sta nella quantita dei dati che LM puo gestire. L'articolo offre molti spunti per migliorare le valutazioni dei rischi... complimenti all autore ma gradirei ulteriori approfondimenti trattandosi di un metodo innovativo e molto recente.. | |
| Rispondi Autore: agostino messineo | 13/10/2024 (22:52:26) |
| Non conosco questa equazione ed il mio interesse è sostanzialmente collegato al fatto che , come Medico del Lavoro, insegno in Università la collaborazione (fondamentale) con gli altri attori della prevenzione soprattutto nella valutazione dei rischi . Pertanto, dovendo concorrere, in qualche modo, a conoscere i fattori di rischio residuo che un soggetto deve affrontare in cantiere (tanto piu' se con patologie limitanti) rilevo fino ad oggi la difficoltà nel definire il "quantum" da attribuire ad ogni fattore (strutture, rischi, DPI). Sarebbe utile conoscere gli algoritmi utilizzati per il "peso" dei vari fattori e ancor piu' le esperienze pubblicate sul miglioramento della situazione infortunistica a seguito dell'adozione della equazione. | |
| Rispondi Autore: Mario Ferraioli | 14/10/2024 (15:12:56) |
| Buongiorno, sono Ferraioli, l'autore dell'articolo. Ho letto con attenzione le osservazioni sopra indicate e le trovo interessanti. Per meglio comprendere il metodo e le sue potenzialità, che sono complesse, invierò alla redazione un testo di approfondimento con applicazioni specifiche nel campo della sicurezza sul lavoro. In generale, nel contesto della sicurezza sul lavoro, gli attori coinvolti devono valutare le condizioni lavorative, individuare i rischi e assegnare loro un peso (lieve, medio, alto) utilizzando la formula P x D (probabilità per danno). Il problema, pur essendo concettualmente corretto, è che la valutazione della probabilità è spesso soggettiva, il che significa che tecnici diversi potrebbero ottenere valutazioni differenti per la stessa fase lavorativa. A mio avviso, questo è inaccettabile. Questo problema si amplifica ulteriormente nello sviluppo di software avanzati, dove la mancanza di un oggetto di riferimento è evidente. Infatti, se utilizziamo software comuni e descriviamo una fase lavorativa in quota – ad esempio, l'installazione di una grondaia a 10 piani di altezza senza l'uso di dispositivi di protezione – nessun software è in grado di valutare adeguatamente ed in maniera autonoma, cioè senza l ausilio del tecnico, la pericolosità di questa situazione . Tuttavia, con l ausilio delle LM in AI e la creazione della relativa rete neurale, premesso il giusto addestramento e il modello di NIMAN , è possibile effettuare questo tipo di analisi. Lo stesso vale per la valutazione delle macchine, dei contorni operativi, degli impianti tecnologici, ecc. Nel testo che invierò alla redazione spiegherò in dettaglio il modello, le procedure matematiche e il relativo codice Python che permette di studiare il metodo. Anticipo che i principali fattori della funzione sono la curva di Gauss e la probabilità bayesiana . | |
