Per utilizzare questa funzionalità di condivisione sui social network è necessario accettare i cookie della categoria 'Marketing'.
L’equazione di Niman, i cantieri e il caso della posa del calcestruzzo
In relazione alla campagna europea “ Lavoro sano e sicuro nell’era digitale”, promossa dall’Agenzia europea per la sicurezza e la salute sul lavoro ( EU-OSHA) e di cui siamo media partner, continuiamo con la pubblicazione di alcuni esempi di sviluppi tecnologici connessi all’uso dell' intelligenza artificiale (IA).
Per parlarne riceviamo e pubblichiamo, con particolare riferimento al mono dei cantieri, un secondo contributo inviato da un nostro lettore, il Dott. Mario Ferraioli, dal titolo “Chiarimento Accademico sull'Equazione di Niman: Implementazione e Applicazione nella Valutazione Quantitativa del Rischio in Cantieri Complessi – Un Caso di Studio sulla Fase di Posa del Calcestruzzo”.
Nel nostro articolo precedente, abbiamo trattato l'Equazione di Niman, come un modello all'avanguardia per l'analisi quantitativa del rischio in ambienti complessi e dinamici, come i cantieri edili e le aree industriali. Questo approccio matematico risponde all'esigenza di una sicurezza rigorosa, integrando variabili temporali e spaziali che influenzano i livelli di rischio operativi. La capacità del modello di adattamento in tempo reale ai cambiamenti contestuali ne fa uno strumento proattivo e integrato, che non solo offre una stima accurata del rischio totale (RT) ma supera i limiti dei metodi tradizionali, innalzando gli standard di sicurezza e favorendo decisioni basate su dati scientifici e obiettivi.
Formulazione Matematica e Applicazioni Pratiche
In ambienti ad alta variabilità, come i cantieri, la gestione del rischio richiede un approccio proattivo che sappia rispondere alle frequenti modifiche delle condizioni operative. L'Equazione di NIMAN si propone come una soluzione strutturata e innovativa per quantificare i rischi legati a impianti e strutture, consentendo una valutazione precisa e integrata del rischio totale. Tale modello si distingue per la capacità di fornire stime oggettive, rispondendo in tempo reale alle variazioni ambientali, e supera le difficoltà degli approcci qualitativi tradizionali.
Tradizionalmente, la valutazione del rischio nei cantieri dipendeva dall'esperienza individuale dei tecnici, il che introduceva una variabilità significativa nei risultati. Anche i software di valutazione spesso si limitavano alla compilazione di documenti formali, senza considerare a fondo la complessità operativa e le dinamiche di cantiere. L'Equazione di NIMAN, invece, si inserisce in un contesto tecnologico avanzato, rispondendo alla crescente necessità di un approccio quantitativo e scientifico che superi la soggettività e si basi su parametri numerici e verificabili.
Un Sistema di Valutazione Quantitativa: I Principi Fondamentali dell'Equazione di Niman
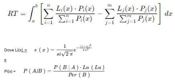
Per strutturare una valutazione scientifica del rischio, l'Equazione di NIMAN si fonda su tre elementi cardine:
- Campione Rappresentativo: l'analisi non è basata sull'esperienza di un singolo tecnico, ma su dati condivisi da migliaia di professionisti, rendendo la valutazione più robusta e oggettiva.
- Curva di Gauss: utilizzata per individuare i rischi con maggiore probabilità e definire i fattori di riduzione del rischio, consente di comprendere la distribuzione dei rischi intorno alla media e di identificare eventuali situazioni di rischio estremo.
- Probabilità Bayesiana: applicata per pesare i rischi e i correttivi, questa tecnica assicura un aggiornamento continuo delle probabilità al variare delle condizioni, mantenendo l'analisi in linea con l'evoluzione del contesto operativo.
L'approccio quantitativo di NIMAN si realizza attraverso il calcolo di una media ponderata dei rischi più probabili, da cui viene sottratta la somma ponderata dei pesi dei fattori correttivi, ottenendo così una stima complessiva del rischio totale. Formalizzare questo processo in termini matematici garantisce rigore e replicabilità, trasformando l'analisi del rischio in un campo più scientifico e meno dipendente dall'interpretazione soggettiva.
Verso un paradigma scientifico nella sicurezza
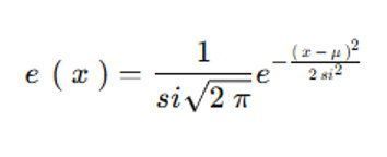
Si consideri la curva di GAUSS per determinare l’intervallo di ricerca dei rischi

- e ( x )è il valore della funzione della distribuzione normale per un dato valore X,
- io è la media della distribuzione,
- si è la deviazione standard, che determina la larghezza della curva,
- e è la base dei logaritmi naturali, approssimativamente uguale a 2.718.

Se nella valutazione consideriamo solo i rischi nel contorno di 0, ad esempio nell'intervallo tra -1 e 1, il peso che questi rischi assumono non sarà più soggettivo, come avveniva in passato, ma analitico. In questo modo, il peso della probabilità, pur non conoscendo il campione esatto ma considerandolo come un valore progressivo, ossia incrementato con il passare del tempo, verrà calcolato utilizzando l'equazione della probabilità bayesiana sotto rappresentata

dove:
- P ( A∣B )è la probabilità condizionata di UN dati B , detta anche probabilità a posteriori .
- P ( B ∣ A )è la probabilità condizionata di osservazione B dati UN, chiamata verosimiglianza .
- P(UN)P(A)La ( La )è la probabilità a priori di UN, rappresenta la conoscenza iniziale su UN.
- Per (B ) è la probabilità marginale di B, cioè la probabilità che B si Verifica in generale.
In altre parole, il teorema di Bayes ci mostra come aggiornare la probabilità di un evento A alla luce di una nuova informazione B, bilanciando conoscenze pregresse con prove recenti e normalizzando per la probabilità totale. Finora, l'analisi dei rischi si è basata su criteri relativamente semplici, ossia stimare i rischi più probabilità in un campione iniziale incerto, assegnando loro un peso progressivo in base alla probabilità che emergono nel tempo.
Il Campione di Dati: da Esperienza Individuale a Big Data
Tradizionalmente, il campione di riferimento è stato l'esperienza diretta del tecnico sul campo. Questo approccio, però, ha portato variabilità e inconsistenza nelle valutazioni, poiché ogni tecnico porta la propria esperienza soggettiva, risultando in risposte diverse. Con l'avvento dell'informatica, oggi possiamo ampliare il campione a una scala molto più vasta, raccogliendo esperienze da migliaia di tecnici in un unico archivio. Pensiamo, infatti, alla possibilità di integrare dati raccolti da decine di migliaia di valutazioni in tempo reale attraverso Internet: questa mole di informazioni collettive crea un database solido su cui basare analisi precise.
La Costruzione di un Campione Eterogeneo e il Metodo di Niman
Per migliorare la precisione, occorre quindi un campione estremamente ampio e diversificato, contenente milioni di valutazioni. A partire da questi dati, possiamo filtrare solo i rischi rilevanti per la nostra valutazione (attraverso la distribuzione gaussiana), assegnare pesi specifici utilizzando il teorema di Bayes e, con lo stesso criterio, ridurre i rischi fino a ottenere un valore di rischio residuo totale (RT). Questo approccio costituisce il Metodo di NIMAN, che eleva l'analisi del rischio a un livello rigorosamente scientifico e basato su dati verificabili, superando l'affidamento su intuizioni soggettive.
L'Equazione di Niman: Una Nuova Frontiera nella Valutazione del Rischio
Questo metodo, descritto nella sua struttura analitica, si traduce nell'Equazione di NIMAN, formalizzato nella sua forma canonica per offrire un sistema di valutazione del rischio che integra conoscenze probabilistiche e statistiche avanzate. Grazie a questa equazione, è possibile compiere valutazioni più accurate e omogenee, creando una base di conoscenze condivise che innalzano gli standard di sicurezza in modo oggettivo e replicabile.

Rappresentazione concettuale dell'Equazione di Niman
Una rappresentazione concettuale dell'Equazione di NIMAN mostra i seguenti elementi:
- Curva di Gauss per i livelli dei fattori di rischio, evidenziando la probabilità di rischi estremamente alti o bassi attorno al valore medio.
- Aggiornamento Bayesiano della probabilità del rischio, che rappresenta l'adattamento dei livelli di rischio in risposta a nuove informazioni.
- Fattori correttivi , che mostrano l'effetto mitigante delle misure di sicurezza sul rischio totale.
- Rischio Totale (RT) dall'integrazione dei fattori di rischio e correttivi, illustrando il livello complessivo risultante di rischio.
Questa visualizzazione offre una panoramica dell'interazione dinamica tra i vari componenti e del modo in cui i rischi si aggiornano in base alle condizioni operative.
Analisi del modello e vantaggi strategici
L'Equazione di NIMAN trova applicazione in diverse aree strategiche della sicurezza sul lavoro:
- Valutazione dei rischi: la combinazione di Curva di Gauss ed equazione bayesiana permette di modellare l'interazione tra variabili come il clima e le condizioni del terreno.
- Ottimizzazione delle procedure di sicurezza: le operazioni possono essere adattate dinamicamente ai rischi aggiornati, favorendo la reattività ai cambiamenti.
- Prevenzione degli incidenti: la distribuzione normale e la probabilità bayesiana consentono di anticipare e ricalcolare i rischi, garantendo interventi mirati.
- Formazione del Personale: la simulazione di scenari di rischio aggiornati consente al personale di familiarizzare con la gestione dei rischi.
- Monitoraggio continuo: i sistemi integrati segnalano in tempo reale condizioni di rischio, aggiornando le probabilità dei fattori correttivi.
Integrazione dell'Intelligenza Artificiale
L'Equazione di NIMAN si potenzia ulteriormente attraverso l'integrazione con l' intelligenza artificiale (IA). Una rete neurale, addestrata su dati storici di rischio, è in grado di:
- Interpretare fattori di rischio modellati secondo la Curva di Gauss.
- Aggiornare dinamicamente le probabilità bayesiane.
- Emettere tempi in tempo reale del rischio totale (RT), adattandosi alle variazioni operative.
Struttura del Modello
- Livelli di input : Ogni fattore di rischio e correttivo è rappresentato come input per la rete. Questi includono:
- Livelli di rischio distribuiti secondo la Curva di Gauss.
- Pesi Bayesiani dei fattori di rischio e correttivi, che riflettono probabilità condizionate efficaci in tempo reale.
- Livelli Nascosti : Utilizzeremo due strati nascosti con funzioni di attivazione ReLU per apprendere le interazioni non lineari tra i fattori.
- Livello di Output : Un singolo nodo per la stima del rischio totale (RT) , con funzione di attivazione sigmoidale per produrre una stima probabilistica
Codice del Modello di Addestramento
Utilizzeremo TensorFlow per implementare ed addestrare il modello. I dati di addestramento includeranno:
- X_train : un set di dati di input rappresentante i fattori di rischio e correttivi per ciascun periodo.
- y_train : un dataset target che rappresenta il rischio totale osservato (RT) per ciascun periodo.
Procedere con il codice per la configurazione del modello di addestramento.
prima si installa tensorflow con il comando
pip install tensorflow
poi si esegue il codice:

Descrizione del modello
- InputLayer: prende i dati di input che rappresentano i fattori di rischio e correttivi.
- Livelli Nascosti: due livelli densi con funzione di riattivazione LU per catturare le relazioni non lineari.
- Livello di output: utilizza una funzione sigmoidale per produrre una stima probabilistica del rischio totale.
Addestramento
- Dati di Addestramento (X_train e y_train): Prepara i dati con fattori di rischio e correttivi per addestrare il modello.
- Funzione di perdita: Errore quadratico medio per una stima di regressione del rischio totale.
Questo modello consente di effettuare una previsione del rischio totale (RT) in base ai dati storici e ai fattori di rischio e correttivi attuali, aggiornandosi con l'approccio bayesiano.
APPLICAZIONE DEL MODELLO di Niman nella valutazione dei rischi in una fase di lavoro specifica, come la posa del calcestruzzo.
Nella valutazione dei rischi per una fase di lavoro specifica, come la posa del calcestruzzo, il modello di Niman permette di individuare e quantificare tutti i rischi ei fattori di mitigazione. Il modello, addestrato su un campione rappresentativo, identifica le voci di rischio lungo la Curva di Gauss e ne calcola il peso tramite l'approccio bayesiano. Questo processo, gestito attraverso il metodo Niman, consente di ottenere una stima precisa del rischio totale (RT) specifico per la fase di lavoro considerata.
Nel documento di valutazione dei rischi la scheda di valutazione posa del calcestruzzo sarà



Mario Ferraioli
BIBLIOGRAFIA:
- LA VALUTAZIONE DEI RISCHI * Article * Jan 2014 * Adriana Stolfa
- INTERA - STRUMENTI PER LA VALUTAZIONE ERGONOMICA DEGLI AMBIENTI DI LAVORO Conference Paper Nov 2013 * Raffaele d'Angelo * Paolo Salvatore D'onofrio * E. Attainase * G Duca
- LE INCERTEZZE NELL'ANALISI DI RISCHIO - A. Carpignano - Politecnico di Torino 2024
- SICUREZZA SUL LAVORO IN UN SISTEMA DI GESTIONE INTEGRATA - May 2003 - A. Boccia - M. Triassi - M. Lizza - Isidoro Annino - Università Politecnica delle Marche
- MANUALE SICUREZZA LAVORO - Vincenzo Nastasi - INAIL Istituto Nazionale per l'Assicurazione contro gli Infortuni sul Lavoro
- COERENZA METODOLOGICA E TRASPARENZA DELLE VALUTAZIONI - March 1995 - Aestimum - Almerico Realfonzo
- I SISTEMI DI GESTIONE DELLA PREVENZIONE E DELLA SICUREZZA SUL LAVORO * Article * Oct 2010 * Patrizia Tullini
- CRITERI PER LA DETERMINAZIONE DI UN SISTEMA DI GESTIONE SALUTE E S.ICUREZZA SUL LAVORO (SGSSL) come Manuale di un M.odello di O.rganizzazione e G.estione (MOG) in tema di Salute e Sicurezza sul Lavoro June 2020 Authors: Antonio Zannini University of Ferrara
- SICUREZZA SUL LAVORO IN UN SISTEMA DI GESTIONE INTEGRATA - May 2003 - A. Boccia - M. Triassi - M. Lizza - Isidoro Annino - Università Politecnica delle Marche
- GAUSS DISTRIBUTION-A COMPLETE PROOF! Authors: Leonardo Rubino
- REVISTA DE DIREITO BRASILEIRA – MARTINA BASSOTTI – AGOSTO 2024
- LA TUTELA DELLA SALUTE E SICUREZZA SUL LAVORO ALLA PROVA DELLA RIVOLUZIONE DIGITALE August 2024 Revista de Direito Brasileira - Martina Bassotti
- CONCEZIONI E MODELLI DI INTELLIGENZA. LE INTELLIGENZE PLURIDIMENSIONALI E RELATIVE - January 2012 - Publisher: I.S.P.E.F. - Authors: - Fausto Presutti
- INTELLIGENZA ARTIFICIALE: L'APPLICAZIONE DI MACHINE LEARNING E PREDICTIVE ANALYTICS NEL RISK MANAGEMENT Mar 2019 * Stefano Bonini * Giuliana Caivano * Paola Cerchiello * Pier Giuseppe Giribone
- MODELLI PER LA QUALITÀ DEI DATI * Chapter * Jan 2008 * Carlo Batini * Monica Scannapieco
- SVILUPPO DI UN MODELLO PREVISIONALE PER LA STIMA CON IL METODO DELLE RETI NEURONALI ARTIFICIALI * Conference Paper * Apr 2012 * Campisi Rosario Pasquale NinoFlavio Lupia
- NIMAN: STUDIO DI CASO SU UN'AZIENDA DI LAVORAZIONE DELLA CARNE NATURALE *Febbraio 2000 - Associazione Internazionale per la Gestione dell'Alimentazione e dell'Agricoltura - RiPEcIl signor Brown
Per visualizzare questo banner informativo è necessario accettare i cookie della categoria 'Marketing'
Pubblica un commento
| Rispondi Autore: Diego Barbagallo | 04/12/2024 (09:08:07) |
| Interessante l'approccio, ma non completamente innovativo, l'analisi dei rischi quantitativa basata su analisi probabilistica e data base riconosciuti per arrivare ad un fattore di misurazione del rischio più oggettivo e meno soggettivo esiste dagli anni 70 sviluppata da un certo Klevor Trez all'imperial Chemical Industries e si chiama QRA (Quantitative Risk Analysis). Un analisi QRA porta a curve di rischio il cui integrale fornisce un valore di misura del rischio totale, ad esempio l'integrale della curva F-N (Frequenza per fatalità possibili) finisce il PLL come misura del rischio. Dell'equazione presentata non capisco sinceramente la divisione per i pesi totali, che in analisi del rischio dovrebbero rappresentare la severità dell'evento che unita alla probabilità dell'evento fornisce la misura del rischio, dividendo per la somma dei pesi (severità) RT non ha più le dimensioni del rischio ma della sola probabilità, non sono convinto che sia una metrica funzionale al confronto dei rischi. | |
| Rispondi Autore: Mario Ferraioli | 24/12/2024 (13:29:22) |
| Dott. Barbagallo, La ringrazio sinceramente per la nota, che ho trovato estremamente interessante e ricca di spunti di riflessione. È vero che l'approccio di Klevor Trez si collocava in un ambito chimico specifico, con un livello di sofisticazione superiore rispetto a quanto richiesto dai modelli attuali derivanti dal D.Lgs. 81/08. Tuttavia, il contesto tecnologico e metodologico in cui operava presenta oggi una distanza significativa rispetto agli sviluppi moderni dell'Intelligenza Artificiale, che ha abbandonato il paradigma di Trez per concentrarsi sulle tecniche di apprendimento per esempi e analisi del suo grande set di dati. NIMAN, con il suo orientamento verso il decreto e la metodologia classica, ha l'obiettivo di avvicinarsi a un approccio scientifico in grado di soddisfare le esigenze operative degli ispettori, i quali, più che uno studio complesso, necessitano di una valutazione pratica e puntuale . Sapere il rischio residuo e la sua probabilità di verificarsi è l'obiettivo chiave, e ciò si realizza attraverso l'analisi di campioni ampi e non personali, garantendo risultati affidabili. Concordo sul fatto che l'AI di oggi, basandosi su modelli addestrati su migliaia di casi, segue un percorso ben diverso rispetto alla metodologia di Trez, ormai inapplicabile. Tuttavia, come giustamente osservato, il passaggio a un'AI Generale segnerà un cambiamento epocale, ma richiederà ancora del tempo per diventare realtà. La sua osservazione rimane un contributo prezioso per il dialogo tecnico e metodologico. Le auguro un sereno Natale e la ringrazio ancora per aver condiviso il suo punto di vista! | |
